Hessen hat den Landtag gewählt. Mit DeltaMaster lassen sich die erhaltenen Stimmen der Parteien in den Wahlkreisen analysieren und eingängig visualisieren.
Die hessische Bevölkerung hat am 28.10.2018 den Landtag gewählt, mit insgeheim erwarteten und dennoch überraschend großen Verschiebungen zwischen den Parteien. Schauen wir doch einmal auf die Möglichkeiten, die DeltaMaster zur Analyse und Visualisierung des vorläufigen Ergebnisses bietet.
Das vorläufige, letztendlich allein zählende Gesamtergebnis ergab sich zu:
Dies sind die nüchternen Zahlen, hier als Bissantz’Numbers dargestellt.
Wir suchen nun nach Möglichkeiten, das Ergebnis auf Basis der Landtagswahlkreise besser verstehen und erklären zu können.
Die Homepage von Statistik Hessen stellt einige Dateien zur Verfügung, die bei der Auswertung der Wahlergebnisse von Nutzen sind:
- vorläufiges Ergebnis der Landtagswahl als csv-Datei (letzter Zugriff am 30.10.2018)
- Strukturdaten der 55 Landtagswahlkreise
- Shapefiles zur Darstellung in der Geo-Analyse
- Datensatzbeschreibung des Shapefiles 2018 (PDF-Format)
Die csv-Datei räumen wir etwas auf, befreien uns etwa von den detaillierten Wahllokal-Ergebnissen, die wir hier außer Acht lassen, fügen den passenden Ausschnitt der Strukturdaten hinzu und speichern das Ergebnis als Excel-Datei ab. Dann klinken wir uns mit Microsoft Excel-SQL Selfservice oder alternativ auch Microsoft Excel-MDX Analytics an die Excel-Quelle an.
Starten wir mit der Geo-Analyse, bei der sich bei den Anzeigeoptionen wieder etwas getan hat.
Das erwähnte PDF enthält die Informationen, die wir benötigen, um das Shapefile-Kartenmaterial DeltaMaster bekannt zu machen:

Einstellungen zur Karte in DeltaMaster
Name der Karte und Name für die Flächen-ID sind willkürlich gewählt. Bei Erwähnung des Copyright-Hinweises
„© Hessisches Statistisches Landesamt, Wiesbaden 2018, Wahlkreiskarte für die Wahl zum 20. Hessischen Landtag am 28. Oktober 2018, Kartengrundlage der Geoinformationen © GeoBasis-DE / BKG 2018, Stadt Darmstadt, Stadt Frankfurt am Main, Stadt Kassel, Landeshauptstadt Wiesbaden“
dürfen wir die Karte verwenden und das Koordinatenbezugssystem wird über das im PDF erwähnte geodätische Datum ETRS89 ausgewählt. Schließlich sind die Landtagswahlkreise so wie in den Ergebnis- und Strukturdatendateien von 1 bis 55 durchnummeriert und im Kartenattribut LWK referenziert. Damit der Copyright-Hinweis später auch in der Karte sichtbar ist, muss entweder eine Hintergrundkarte (dies kann auch die Karte selbst sein) verwendet werden oder alternativ ein Kartendienst wie „HERE“ oder „Google Maps“ aktiviert sein.
Nachdem auch das Geo-Mapping konfiguriert ist, lassen sich die Wahlergebnisse als Karte anzeigen. Hier werden die Landtagswahlkreise gemäß dem Stimmenanteil der CDU eingefärbt. Mit dem Mauszeiger können die Wahlkreise interaktiv abgefahren werden; hier ist gerade Fulda II im Fokus (klicken Sie bitte auf die Grafik für eine vergrößerte Darstellung):

Stimmenanteil der CDU in den Landtagswahlkreisen
Landesweit besitzen Grüne und SPD fast identische Stimmenanzahlen. Es bietet sich an, die Differenz der Stimmenanteile in Prozentpunkten darzustellen:
Bei der Differenz entstehen negative Werte mit roten Flächen, wenn die SPD mehr Stimmen als die Grünen erhalten hat. Es scheint somit Vorteile für Grün zu geben, falls man sich eher in südlicheren Gefilden oder in Großstädten aufhält.
DeltaMaster bietet aber auch die Option an, Beschriftungen und Werte der Flächen dauerhaft anzuzeigen. Das sieht dann folgendermaßen aus:

Grüne minus SPD in PP mit dauerhafter Beschriftung
Lässt man die Namen der Wahlkreise weg, werden die Werte als Bissantz’Numbers dargestellt:

Grüne minus SPD in PP als Bissantz’Numbers
Die Skala an der Seite wird fast überflüssig und vor allem besonders große Werte werden schnell erfasst. Gerade durch die ständige Anzeige der Zahlen ist Feindifferenzierung immer möglich.
Bisher wurden die Zahlen einfach in einer Karte dargestellt. Nun versuchen wir Beziehungen zu Strukturdaten herzustellen. Beispielsweise liegen Arbeitslosenquoten pro Wahlkreis vor. Eine Einschränkung ist allerdings noch zu erwähnen: Für manche Großstädte wie etwa Frankfurt liegen die Strukturdaten nur für das Aggregat aus mehreren Wahlkreisen vor.
Im Falle etwa von Frankfurt werden die Wahlkreise 34-39 – das sind Frankfurt I bis Frankfurt VI – für die Strukturdaten zusammengefasst. Wir haben hier vereinfachend und leicht verfälschend angenommen, dass die Arbeitslosenquoten in jedem dieser Wahlkreise identische Werte annehmen. Etwas sauberer, aber auch etwas mühsamer in der Berechnung wäre die Vorgehensweise gewesen, nur den aggregierten Wert in die Analyse aufzunehmen und die Stimmen ebenfalls zu aggregieren.
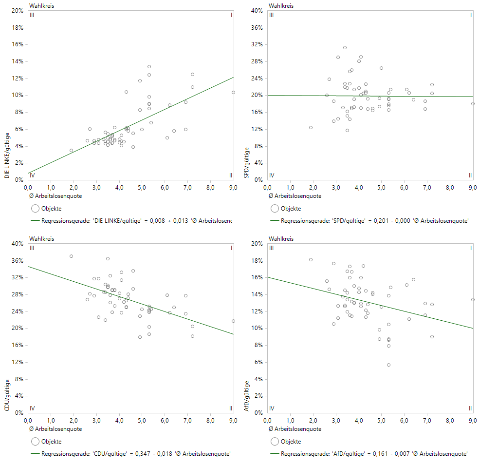
Man könnte nun eine weitere Karte der Arbeitslosenquoten erstellen, aber beim Vergleich des Zusammenhangs zweier Variablen ist eine Gegenüberstellung wie in der Portfolioanalyse einfacher zu verstehen:

Arbeitslosenquote gegen Stimmenanteile für DIE LINKE, SPD, CDU und AfD
Während DIE LINKE ebenso wie die hier nicht abgebildeten Grünen von hohen Arbeitslosenquoten eher profitieren, sind die Abhängigkeiten für CDU und AfD negativ und für die Arbeiterpartei SPD sogar indifferent. Natürlich muss man in der Interpretation aufpassen, dass aus Korrelationen nicht zwingend Kausalitäten folgen.
Aufschlussreich sind auch die geplotteten Stimmenanteile CDU gegen AfD und Grüne gegen AfD:

Positive Korrelation zwischen AfD und CDU, negative zwischen AfD und Grünen
Während für Grüne und AfD zusammen kein Platz vorhanden ist, sind die Stimmenanteile von CDU und AfD positiv korreliert!
Weitere interessante Zusammenhänge ergeben sich mit dem Anteil der Frauen unter den Wählern oder dem Anteil Nichtdeutscher an der arbeitenden Bevölkerung (-> Hausaufgabe!).
Wir wollen den Blogbeitrag mit einer Darstellung beenden, die nicht in DeltaMaster implementiert ist. Die Korrespondenzanalyse versucht, Zeilen und Spalten einer Häufigkeitstabelle als Punkte in einem Plot darzustellen. Wir nehmen hier die Anzahlen der gültigen Stimmen pro Landeswahlkreis:

Gültige Stimmen nach Partei und Wahlkreis
Mittels der Korrespondenzanalyse (es wurden die R-Pakete ca und factoextra verwendet) ergibt sich das folgende Bild (klicken Sie bitte wieder auf die Grafik, um eine vergrößerte Darstellung zu erhalten):
In dieser Darstellung liegen zwei Wahlkreise dicht nebeneinander, wenn sich die Prozentanteile der Parteien ähneln. Zwei Parteien liegen dicht zusammen, wenn sich ihre Stimmen ähnlich auf die Wahlkreise verteilen, sich also eine Proportionalität der absoluten Stimmen über die Wahlkreise ergibt.
Übrigens sind die Ergebnisse der 6 Bezirke in Frankfurt (34 bis 39) zwar allesamt in der linken Hälfte, aber ansonsten doch recht weit über die Grafik verteilt. Vielleicht sollten die Strukturdaten für jeden Wahlkreis erhoben werden und nicht nur für ganz Frankfurt.
Wenn ein Wahlkreis dichter bei einer Partei im Vergleich zu den übrigen Parteien liegt, deutet das darauf hin, dass die Partei in diesem Wahlkreis im Vergleich zum Landesdurchschnitt überproportional gut abgeschnitten hat. Zum Beispiel sind die Wahlkreise 1 (Kassel-Land I), 2 (Kassel-Land II), 7 (Schwalm-Eder I) und 9 (Eschwege-Witzenhausen) in ihrem Wahlergebnis ähnlich und im Vergleich zum Gesamtergebnis überdurchschnittlich der SPD zugetan.
DIE LINKE besitzt ihre Fans in den Landeswahlkreisen 3 (Kassel-Stadt I), 35 (Frankfurt am Main II), 38 (Frankfurt am Main V) und 49 (Darmstadt-Stadt I), die Grünen sind überdurchschnittlich vertreten in 30 (Wiesbaden I), 36 (Frankfurt am Main III) und 37 (Frankfurt am Main IV) und die AfD hat etwa eine Hochburg in 16 (Lahn-Dill I).
Wahlkreis 4 (Kassel-Stadt II) liegt zwischen DIE LINKE und SPD und hat für beide Parteien erhöhte Anteile – im Vergleich zum jeweiligen Gesamtergebnis.
Das Abschneiden von Wahlkreisen nahe dem Ursprung des Koordinatenkreuzes ähnelt dem Gesamtergebnis. Hier ist Wahlkreis 52 (Darmstadt-Dieburg II) nahe dran am Gesamtergebnis.
In der folgenden Grafischen Tabelle können die eben aufgeführten Beobachtungen nachvollzogen werden:

Ergebnisse der Korrespondenzanalyse in DeltaMaster nachvollzogen
Man kann hier aber auch Bissantz’Numbers verwenden, um vergleichbare Ergebnisse zur Korrespondenzanalyse zu erzielen, muss dabei aber berücksichtigen, dass Werte immer relativ zum Gesamtergebnis gedeutet werden. Für uns heißt dies, dass wir jede Prozentzahl einer Partei durch das Landesergebnis teilen. Die Tabelle von eben sieht dann folgendermaßen aus:

Verhältnisse zum Gesamtergebnis
Hier kommt jetzt das lokale Abschneiden einer Partei viel deutlicher zum Ausdruck, immer relativ gesehen zum Gesamtergebnis der Partei. Die untere Zeile mit dem Gesamtergebnis besteht nun auch nur noch aus Einsen.
In dieser Darstellungsform lassen sich weitere interessante Analysen durchführen. Seien beispielweise Wahlkreise gesucht, in denen CDU und AfD überdurchschnittliche Ergebnisse erzielen. Wir definieren dazu eine Hilfsgröße aus dem Produkt der beiden Werte und sortieren absteigend. Die Hilfsgröße würden wir normalerweise gar nicht anzeigen, haben sie hier aber zum besseren Verständnis als letzte Spalte aufgenommen, aber unskaliert. Die Top-10 lauten dann:

Verhältnisse zum Gesamtergebnis: CDU und AfD überdurchschnittlich
Es gibt also durchaus Wahlkreise, in denen sowohl AfD, als auch CDU überdurchschnittlich abschneiden. Dies passt zum Ergebnis der Portfolioanalyse, dass Stimmenanteile zwischen CDU und AfD positiv korreliert sind.
Anders sieht es bei AfD und Grünen aus. Mit dem Produkt beider Quotienten als Hilfsgröße sehen die Top-10 folgendermaßen aus:

Grüne und AfD geht nicht zusammen!
Es gibt somit nicht einen einzigen Wahlkreis, in dem AfD und Grüne gleichzeitig überdurchschnittlich – also beide Werte >= 1.1 – abgeschnitten haben. Ist einer der beiden Werte größer als 1, ist der andere 1 oder kleiner!


